Антенны для приема спутникового телевидения.

Наибольший интерес в настоящее время представляет прием телевидения в диапазоне 11... 12 ГГц, для которого наиболее применимы параболические антенны, так как параболоид вращения отражает все падающие на его апертуру и параллельные его оси лучи в одну точку, называемую фокусом. Апертурой же называется часть плоскости, ограниченной кромкой параболоида. На этом свойстве, в частности, основан принцип прожектора. Таким образом, антенный параболоид, строго говоря, не представляет собой антенну в ее понимании преобразователя напряженности электромагнитного поля в напряжение сигнала. Параболоид представляет собой лишь отражатель радиоволн, концентрируя их в фокусе, куда и должна быть помещена сама антенна.

6-11.jpg

На частоте 12 ГГц длина волны равна 2,5 см. Так как коэффициент усиления антенны пропорционален длине волны, обычные антенны в этом диапазоне имеют очень малый коэффициент усиления. Так, антенны той же конструкции, что на первом частотном канале (длина волны 600 см) в диапазоне 12 ГГц будут иметь коэффициент усиления в 240 раз меньше (на 48 дБ). Кроме того, мощность передатчиков ИСЗ, ограниченная источниками энергии, массой и габаритами, во много раз меньше мощности наземных телевизионных передатчиков. Наконец, при большом расстоянии до спутника напряженность поля в точке приема весьма мала. Все это требует использования приемных антенн, обладающих очень большим коэффициентом усиления. Параболический отражатель решает эту задачу, концентрируя энергию сигнала на антенне (называемой по аналогии с передающей антенной облучателем), помещенной в фокус параболоида. Отсюда, чем больше диаметр апертуры параболоида, тем больше коэффициент усиления антенны.

Параболоид вращения, используемый в качестве отражателя антенны, образуется вращением плоской параболы вокруг ее оси. Основное свойство (определение) параболы: параболой называется геометрическое место точек, равноудаленных от заданной точки (фокуса) и заданной прямой (директрисы). На рис. 6.1. показаны точка F - фокус и линия АВ - директриса. Точка М с координатами (х, у) - одна из точек параболы. Расстояние между фокусом и директрисой называется параметром параболы и обозначается буквой р. Тогда координаты фокуса будут (р/2, 0).

Начало координат (точка 0) называется вершиной параболы.

6-12.jpg

При постоянном значении параметра, задаваясь координатами х, находят значение правой части уравнения параболы и, после извлечения квадратного корня получают координату у.

6-13.jpg

Парабола - кривая линия, симметричная относительно оси абсцисс (рис. 6.2), называемой осью параболы. Проведем касательную НК к параболе в точке М и нормаль MD к той же точке, перпендикулярную касательной. Можно доказать, что отрезки КО и Ох равны. Тогда КЕ = ЕМ и равны между собой треугольники РЕМ и KEF, При этом равны также РЕ и EF и по равенству трех сторон равны треугольники РЕМ и EMF. Из их равенства следует, что равны углы РМЕ и EMF, а значит и углы НМС и EMF. Отсюда очевидно равенство углов CMD и DMF - угла падения и угла отражения. Это доказывает, что все лучи, падающие на параболу параллельно ее оси, пересекаются в фокусе. Наконец, благодаря тому, что сумма отрезков CM + МР равна сумме отрезков CM + MF, следует вывод:

электромагнитные волны, падающие на апертуру параболоида параллельно оси, поступают к фокусу синфазно. Это крайне важно для антенны, так как иначе лучи, отраженные разными точками поверхности параболоида, сходились бы в фокусе с разными фазами, и сложение сигналов получалось бы с меньшим результатом.

Самостоятельное изготовление параболического отражателя достаточно трудоемко. В промышленных условиях параболоид вытягивается из дюралевого листа с помощью мощных гидравлических прессов. Одновременно в поверхности параболоида вырубается большое количество маленьких отверстий, которые не влияют на его работу, но значительно уменьшают парусность. К другой разновидности относятся параболоиды, изготовленные из пластических масс методом литья с последующей металлизацией поверхности напылением. В любительских условиях ни тот, ни другой метод невозможны. Однако, в радиолюбительской литературе неоднократно приводились достаточно простые технологии изготовления самодельных параболоидов методом выклейки стеклотканью по шаблону с последующей оклейкой

фольгой. В некоторых источниках также приводятся готовые таблицы вычисленных координат параболы одного определенного параметра, что позволяет избавиться от несложного, но громоздкого расчета. Если же окажется целесообразным использование параболы с другим значением параметра, такой расчет придется выполнить.

Выбор параметра параболы определяет глубину параболоида, то есть расстояние между вершиной и фокусом. При одинаковом диаметре апертуры короткофокусные параболоиды обладают большой глубиной, что делает крайне неудобным установку облучателя в фокусе. Кроме того, в короткофокусных параболоидах расстояние от облучателя до вершины зеркала значительно меньше, чем до его краев, что приводит к неравномерности амплитуд у облучателя для волн, отразившихся от кромки параболоида и от зоны, близкой к вершине. Длиннофокусные параболоиды имеют меньшую глубину, установка облучателя оказывается удобнее и амплитудное распределение становится равномернее. Так, при диаметре апертуры 1, 2 м и параметре параболы 200 мм глубина параболоида оказывается равной 900 мм, а при параметре 750 мм - всего 240 мм. Если параметр превышает радиус апертуры, фокус, в котором должен находиться облучатель, располагается вне объема, ограниченного параболоидом и апертурой. Оптимальным как раз считается выбор параметра несколько большим, чем радиус апертуры.

В качестве облучателя обычно используется открытый конец круглого волновода, конический (или более сложной формы) рупор, если принимается сигнал линейной поляризации, а также спиральный облучатель при круговой поляризации.

Наконец, антенна должна быть оснащена юстировочным устройством для точного наведения на ИСЗ по двум координатам: азимуту и углу места. Геостационарные ИСЗ размещены на круговой орбите, плоскость которой совпадает с экваториальной плоскостью Земли, и характеризуются только одной координатой - восточной или западной долготой. Если бы точка приема находилась на экваторе, ориентировать антенну на спутник достаточно было бы также только по одной координате - по углу места, поворачивая антенну в той же плоскости. Когда точка приема находится не на экваторе, при разных значениях долготы спутников направления на них отличаются уже как углами места, так и азимутами. Зная с достаточной точностью долготу конкретного ИСЗ и координаты точки приема (широту и долготу) можно сравнительно просто вычислить необходимое направление антенны на этот спутник по азимуту и углу места. Тем не менее, по самым разным причинам абсолютно точно определить необходимое направление антенны на спутник невозможно. К таким причинам относятся неточность известных координат наземной точки приема, неточность отсчета азимутального направления антенны из-за неточности направления на географический Север (использование компаса недопустимо из-за наличия магнитного склонения и влияния магнитных масс), наконец, неточностей выполнения антенного отражателя и установки облучателя. Ширина главного лепестка диаграммы направленности параболоида очень мала. Поэтому без предварительного определения необходимого направления антенны на спутник методом вычисления практически невозможно "поймать" его сигнал, а после ориентирования по результатам вычислений необходимо осуществить тонкую юстировку направления антенны непосредственно по приему сигнала спутникового ретранслятора.

Определение направления антенны на спутник путем вычисления азимута и угла места оси параболоида производится в следующем порядке. Сначала вычисляется разность долгот:

6-14.jpg

Азимут отсчитывается от направления на Север по часовой стрелке, угол места - над горизонтальным направлением вверх. Все углы выражаются в градусах и их десятичных долях. Если известна координата, выраженная в градусах, минутах и секундах, ее переводят в градусы таким способом:

6-15.jpg

Координаты точки приема используют с максимальной точностью. Крупные города достаточно протяженны. К примеру Москва в пределах МКАД простирается от 55°34'30" до 55°55'00" северной широты и брать какое-то усредненное значение широты не следует. То же относится и к долготе. Лучше всего определять координаты точки приема по топографической карте.

Таблица 6 Программа для ориентирования антенны

6-16.jpg

Вычислить азимут и угол места антенны можно с помощью программируемого микрокалькулятора. В таблице 6. 1 приведена программа для микрокалькулятора МЗ-34 или аналогичных ему. Если спутник восточнее точки приема, при загрузке программы команду 11 нужно заменить на "минус", а у вычисленного азимута поменять знак. После загрузки программы заносятся операнды: азимут точки приема в1 - в регистр 1, азимут спутника с положительным знаком при восточной долгот или с отрицательным знаком при западной в2 - в регистр 2, широта точки приема а - в регистр 3, 180 - в регистр 4, 0,15105 - в регистр 5. После нажатия клавиш В/О и С/П вычисляется азимут А и высвечивается на дисплее. При повторном нажатии клавиши С/П вычисляется угол места М, также отображаемый на дисплее.

Приведем несколько примеров для контроля программы.

6-17.jpg

В приведенных примерах результаты округлены до второго знака после запятой.

Рассмотренный метод ориентирования антенны по направлению на ИСЗ называется азимутально-угломестным, так как оно производится по двум координатам: по азимуту и по углу места. Отличительная особенность этого метода ориентирования состоит в том, что для ориентирования по азимуту антенна вращается вокруг оси, расположенной вертикально относительно поверхности Земли, которая называется азимутальной осью опорно-поворотного устройства антенны. Поэтому на любой широте точки приема за исключением северного и южного полюсов азимутальная ось пересекает плоскость экватора и, соответственно плоскость геостационарной орбиты под острым углом. Это приводит к тому, что каждому спутнику, размещенному на геостационарной орбите, соответствуют для данной точки приема персональные значения азимута и угла места направления антенны. Естественно, что при переориентировании антенны с одного спутника на другой приходится изменять направление антенны, как по азимуту, так и по углу места.

В отличие от азимутально-угломестной ориентации существует метод полярной ориентации, который позволяет производить переориентирование антенны с одного спутника на другой только по одной координате. Для этого вращение антенны по азимуту должно происходить не вокруг вертикальной азимутальной оси, а вокруг дополнительной оси, параллельной оси вращения Земли, соединяющей северный и южный географические полюсы. В связи с тем, что в направлении оси вращения Земли находится Полярная звезда, эта дополнительная ось называется полярной осью. Конструкция такого опорно-поворотного устройства антенны показана на рис. 6.3. Для полярной

6-18.jpg

ориентации по-прежнему требуется наличие механизма вертикальной оси и поворота антенны вокруг этой оси, а также механизма поворота антенны по углу места. Однако, эти механизмы используются только один раз, при установке антенны. В дальнейшем переориентирование антенны с одного спутника на другой осуществляется только поворотом вокруг полярной оси.

На рис. 6.4 показано взаимное положение точки М, находящейся на плоскости геостационарной орбиты, точки приема А, имеющей широту а , и оси вращения Земли, направленной на Полярную звезду и наклоненной относительно плоскости земной орбиты, называемой эклиптикой. Тогда при вращении антенны вокруг полярной оси максимум диаграммы направленности будет описывать круглый прямой конус, ось которого перпендикулярна экваториальной плоскости, то есть плоскости орбиты всех геостационарных спутников. Очевидно, что при этом для ориентирования на любой геостационарный спутник, не затененный Землей, достаточно повернуть антенну только вокруг полярной оси.

6-19.jpg

Установка антенны производится следующим образом. Сначала необходимо как можно точнее определить в точке приема направление Север-Юг. Для этого на горизонтальной плоскости, выверенной по уровню, устанавливают по отвесу вертикальный штырь. В солнечную погоду следят за тенью штыря на плоскости, отмечая на ней длину тени. Наиболее короткая тень получается в истинный полдень, когда тень направлена на Север. В связи с тем, что вблизи полудня длина тени изменяется мало, удобнее отметить две равноудаленные от штыря точки конца тени и провести линию Север-Юг посредине между этими точками. Такой метод удобнее, чем предлагаемый иногда, при котором отмечают направление тени в момент истинного полудня, для чего нужно знать этот момент для данной точки приема и учитывать декретное время, а также вошедшие в моду регулярные переходы на "зимнее" и "летнее" время.

Затем по отвесу устанавливают азимутальную ось вертикально, поворачивают вокруг нее антенну на Юг и регулировкой угла места устанавливают полярную ось под углом к горизонту, равным географической широте точки приема &. Тогда ось параболоида, вертикальная и полярная оси окажутся в одной плоскости, соответствующей плоскости рисунка 6. 4.

Если ось параболоида перпендикулярна полярной оси, она лежит в плоскости географической параллели. Чтобы параболоид "смотрел" в точку М, его нужно довернуть относительно полярной оси на корректирующий угол у.

Определим угол коррекции у по рис. 6. 4. Обозначим средний радиус Земли -г =6370 км и радиус геостационарной орбиты ОМ - R =35875+ 6370= 42245 км. Тогда:

6-110.jpg

В зависимости от широты точки приема угол коррекции можно определить по графику, приведенному на рис. 6. 5.

В условиях полярной ориентации антенны часто допускается ошибка, когда считают, что достаточно на валу полярной оси установить шкалу отсчета разности долгот точки приема и спутника (в1-в2), и по этой шкале антенна будет точно ориентирована на спутник. Ошибка обусловлена предположением о том, что траектория точки пересечения луча антенны с плоскостью геостационарной орбиты совпадает с самой орбитой. В действительности это не так. Центр окружности геостационарной орбиты расположен в центре Земли, а центр окружности основания конуса лучей антенны на плоскости геостационарной орбиты смещен относительно центра Земли на расстояние rcosa, что например на широте 45° составляет более 4500 км. Указанные две окружности сливаются только на долготе точки приема, а на других долготах

6-111.jpg

6-112.jpg

окружность лучей антенны расположена внутри окружности геостационарной орбиты. Чем больше разница долгот, тем больше отклонение. Поэтому если ИСЗ находится восточнее или западнее точки приема, к указанной разности долгот необходимо прибавить поправку S, которую можно вычислить по формуле:

6-113.jpg

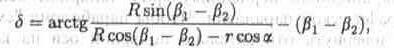
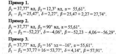
или найти по графику рис. 6.6. Поправка, вычисленная по формуле, берется с тем знаком, который получился при вычислении. При использовании графика поправка берется с минусом, если долгота ИСЗ больше долготы точки приема. В обоих случаях результирующий угол поворота антенны на спутник получается по абсолютной величине больше разности долгот. Приведем несколько примеров для контроля.

6-114.jpg

Назад